교과용도서 수정·보완 사항

교과용도서 수정·보완 온라인 시스템>교과용도서 수정·보완 사항

461,626건(6,212/46,163 페이지)

확인
(주)와이비엠 중학교 진로와 직업의 교과용도서 수정·보완 사항 - 선택, 표지, 교/지/디, 학교급, 교육과정, 국/검/인, 출판사, 도서명, 권별, 저자, 초판일 정보, 대단원, 중단원, 쪽, 현행내용, 수정내용, 인쇄반영일, 정정항목, 세부정정항목 정보가 표시됨
표지 교/지/디 학교급 교육과정 국/검/인 출판사 도서명 권별 저자 초판일 판쇄
용어 수정 (주)와이비엠 - 진로와 직업 표지 지도서 중학교 2015 인정 (주)와이비엠 진로와 직업 양운택외 10명 2018/03/01 2쇄
대단원 중단원 현행내용 수정내용 인쇄반영일 정정항목
Ⅳ. 진로 디자인과 준비 2. 진로 설계와 준비 234 방과 후 활동 영어반 평가회 자유학기 활동 영어반 평가회 2021/03/02 단순수정
위치 세부정정항목
본문 위에서 우7번째 줄 편집·교열
(주)교학사 중학교 기술·가정②의 교과용도서 수정·보완 사항 - 선택, 표지, 교/지/디, 학교급, 교육과정, 국/검/인, 출판사, 도서명, 권별, 저자, 초판일 정보, 대단원, 중단원, 쪽, 현행내용, 수정내용, 인쇄반영일, 정정항목, 세부정정항목 정보가 표시됨
표지 교/지/디 학교급 교육과정 국/검/인 출판사 도서명 권별 저자 초판일 판쇄
저자, 약력 (주)교학사 - 기술·가정② 표지 지도서 중학교 2015 인정 (주)교학사 기술·가정② 정성봉외 11명 2018/03/01 초판4쇄
대단원 중단원 현행내용 수정내용 인쇄반영일 정정항목
383 세종 금호중학교 교사 세종시교육청 장학사 2021/03/01 단순수정
위치 세부정정항목
하 위에서 14번째 줄 판권
(주)교학사 중학교 기술·가정②의 교과용도서 수정·보완 사항 - 선택, 표지, 교/지/디, 학교급, 교육과정, 국/검/인, 출판사, 도서명, 권별, 저자, 초판일 정보, 대단원, 중단원, 쪽, 현행내용, 수정내용, 인쇄반영일, 정정항목, 세부정정항목 정보가 표시됨
표지 교/지/디 학교급 교육과정 국/검/인 출판사 도서명 권별 저자 초판일 판쇄
그림, 그래프 (주)교학사 - 기술·가정② 표지 지도서 중학교 2015 인정 (주)교학사 기술·가정② 정성봉외 11명 2018/03/01 초판4쇄
대단원 중단원 현행내용 수정내용 인쇄반영일 정정항목
자원 관리와 자립 163 (그림 Ⅲ-1에서 1983년도) 20... 2.06 2021/03/01 단순수정
위치 세부정정항목
자료 편집·교열
(주)미래엔 중학교 수학3의 교과용도서 수정·보완 사항 - 선택, 표지, 교/지/디, 학교급, 교육과정, 국/검/인, 출판사, 도서명, 권별, 저자, 초판일 정보, 대단원, 중단원, 쪽, 현행내용, 수정내용, 인쇄반영일, 정정항목, 세부정정항목 정보가 표시됨
표지 교/지/디 학교급 교육과정 국/검/인 출판사 도서명 권별 저자 초판일 판쇄
답 수정 (주)미래엔 - 수학3 표지 교과서 중학교 2015 검정 (주)미래엔 수학3 황선욱외 5명 2020/03/01 초판 발행
대단원 중단원 현행내용 수정내용 인쇄반영일 정정항목
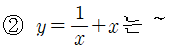
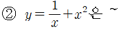
기타 264 ① 90° ② 90° ① 90 ② 90
2021/03/01 내용수정
위치 세부정정항목
본문 위에서 우15번째 줄 설명
(주)미래엔 중학교 수학3의 교과용도서 수정·보완 사항 - 선택, 표지, 교/지/디, 학교급, 교육과정, 국/검/인, 출판사, 도서명, 권별, 저자, 초판일 정보, 대단원, 중단원, 쪽, 현행내용, 수정내용, 인쇄반영일, 정정항목, 세부정정항목 정보가 표시됨
표지 교/지/디 학교급 교육과정 국/검/인 출판사 도서명 권별 저자 초판일 판쇄
답 수정 (주)미래엔 - 수학3 표지 교과서 중학교 2015 검정 (주)미래엔 수학3 황선욱외 5명 2020/03/01 초판 발행
대단원 중단원 현행내용 수정내용 인쇄반영일 정정항목
기타 254 (주)미래엔 수학3 254쪽 현행내용 이미지


(126쪽 좌6 수정에 따른 수정)

(주)미래엔 수학3 254쪽 수정내용 이미지
2021/03/01 내용수정
위치 세부정정항목
본문 위에서 우20번째 줄 설명
(주)교학사 중학교 기술·가정①의 교과용도서 수정·보완 사항 - 선택, 표지, 교/지/디, 학교급, 교육과정, 국/검/인, 출판사, 도서명, 권별, 저자, 초판일 정보, 대단원, 중단원, 쪽, 현행내용, 수정내용, 인쇄반영일, 정정항목, 세부정정항목 정보가 표시됨
표지 교/지/디 학교급 교육과정 국/검/인 출판사 도서명 권별 저자 초판일 판쇄
판권 (주)교학사 - 기술·가정① 표지 지도서 중학교 2015 인정 (주)교학사 기술·가정① 정성봉외 11명 2018/03/01 초판4쇄
대단원 중단원 현행내용 수정내용 인쇄반영일 정정항목
256 2020. 3. 1. 초판 3쇄 발행 2021. 3. 1. 초판 4쇄 발행 2021/03/01 단순수정
위치 세부정정항목
하 위에서 14번째 줄 판권
(주)미래엔 중학교 수학3의 교과용도서 수정·보완 사항 - 선택, 표지, 교/지/디, 학교급, 교육과정, 국/검/인, 출판사, 도서명, 권별, 저자, 초판일 정보, 대단원, 중단원, 쪽, 현행내용, 수정내용, 인쇄반영일, 정정항목, 세부정정항목 정보가 표시됨
표지 교/지/디 학교급 교육과정 국/검/인 출판사 도서명 권별 저자 초판일 판쇄
답 수정 (주)미래엔 - 수학3 표지 교과서 중학교 2015 검정 (주)미래엔 수학3 황선욱외 5명 2020/03/01 초판 발행
대단원 중단원 현행내용 수정내용 인쇄반영일 정정항목
기타 250 (주)미래엔 수학3 250쪽 현행내용 이미지


(99쪽 하1 수정에 따른 수정)

(주)미래엔 수학3 250쪽 수정내용 이미지
2021/03/01 내용수정
위치 세부정정항목
본문 위에서 좌하4번째 줄 설명
(주)와이비엠 중학교 진로와 직업의 교과용도서 수정·보완 사항 - 선택, 표지, 교/지/디, 학교급, 교육과정, 국/검/인, 출판사, 도서명, 권별, 저자, 초판일 정보, 대단원, 중단원, 쪽, 현행내용, 수정내용, 인쇄반영일, 정정항목, 세부정정항목 정보가 표시됨
표지 교/지/디 학교급 교육과정 국/검/인 출판사 도서명 권별 저자 초판일 판쇄
용어 수정 (주)와이비엠 - 진로와 직업 표지 지도서 중학교 2015 인정 (주)와이비엠 진로와 직업 양운택외 10명 2018/03/01 2쇄
대단원 중단원 현행내용 수정내용 인쇄반영일 정정항목
Ⅳ. 진로 디자인과 준비 2. 진로 설계와 준비 234 방과 후 활동: 영어반 신청 자유학기 활동: 영어반 신청 2021/03/02 단순수정
위치 세부정정항목
본문 위에서 좌12번째 줄 편집·교열
(주)와이비엠 중학교 정보의 교과용도서 수정·보완 사항 - 선택, 표지, 교/지/디, 학교급, 교육과정, 국/검/인, 출판사, 도서명, 권별, 저자, 초판일 정보, 대단원, 중단원, 쪽, 현행내용, 수정내용, 인쇄반영일, 정정항목, 세부정정항목 정보가 표시됨
표지 교/지/디 학교급 교육과정 국/검/인 출판사 도서명 권별 저자 초판일 판쇄
블록 색상 수정 (주)와이비엠 - 정보 표지 교과서 중학교 2015 인정 (주)와이비엠 정보 배영권외 5명 2018/03/01 3
대단원 중단원 현행내용 수정내용 인쇄반영일 정정항목
Ⅳ. 컴퓨팅 시스템 2. 피지컬 컴퓨팅 164

(주)와이비엠 정보 164쪽 현행내용 이미지

(주)와이비엠 정보 164쪽 수정내용 이미지
2021/03/02 단순수정
위치 세부정정항목
날개 위에서 2번째 줄 색보정
(주)와이비엠 중학교 진로와 직업의 교과용도서 수정·보완 사항 - 선택, 표지, 교/지/디, 학교급, 교육과정, 국/검/인, 출판사, 도서명, 권별, 저자, 초판일 정보, 대단원, 중단원, 쪽, 현행내용, 수정내용, 인쇄반영일, 정정항목, 세부정정항목 정보가 표시됨
표지 교/지/디 학교급 교육과정 국/검/인 출판사 도서명 권별 저자 초판일 판쇄
용어 수정 (주)와이비엠 - 진로와 직업 표지 지도서 중학교 2015 인정 (주)와이비엠 진로와 직업 양운택외 10명 2018/03/01 2쇄
대단원 중단원 현행내용 수정내용 인쇄반영일 정정항목
Ⅳ. 진로 디자인과 준비 2. 진로 설계와 준비 234 로봇 관련 방과 후 활동 <방과 후 ... 로봇 관련 자유학기 활동 <자유학기 ... 2021/03/02 단순수정
위치 세부정정항목
본문 위에서 축쇄본번째 줄 색보정