교과용도서 수정·보완 사항

교과용도서 수정·보완 온라인 시스템>교과용도서 수정·보완 사항

461,626건(5,950/46,163 페이지)

확인
동아출판(주) 중학교 역사②의 교과용도서 수정·보완 사항 - 선택, 표지, 교/지/디, 학교급, 교육과정, 국/검/인, 출판사, 도서명, 권별, 저자, 초판일 정보, 대단원, 중단원, 쪽, 현행내용, 수정내용, 인쇄반영일, 정정항목, 세부정정항목 정보가 표시됨
표지 교/지/디 학교급 교육과정 국/검/인 출판사 도서명 권별 저자 초판일 판쇄
띄어쓰기 수정 동아출판(주) - 역사② 표지 교과서 중학교 2015 검정 동아출판(주) 역사② 노대환외 10명 2020/03/01 1
대단원 중단원 현행내용 수정내용 인쇄반영일 정정항목
고려의 성립과 변천 91

쌍성 총관부

쌍성총관부

2021/03/01 단순수정
위치 세부정정항목
자료 편집·교열
동아출판(주) 중학교 역사②의 교과용도서 수정·보완 사항 - 선택, 표지, 교/지/디, 학교급, 교육과정, 국/검/인, 출판사, 도서명, 권별, 저자, 초판일 정보, 대단원, 중단원, 쪽, 현행내용, 수정내용, 인쇄반영일, 정정항목, 세부정정항목 정보가 표시됨
표지 교/지/디 학교급 교육과정 국/검/인 출판사 도서명 권별 저자 초판일 판쇄
띄어쓰기 수정 동아출판(주) - 역사② 표지 교과서 중학교 2015 검정 동아출판(주) 역사② 노대환외 10명 2020/03/01 1
대단원 중단원 현행내용 수정내용 인쇄반영일 정정항목
남북국 시대의 전개 71

모줄임 천장

모줄임천장

2021/03/01 단순수정
위치 세부정정항목
상 위에서 4번째 줄 편집·교열
동아출판(주) 중학교 역사②의 교과용도서 수정·보완 사항 - 선택, 표지, 교/지/디, 학교급, 교육과정, 국/검/인, 출판사, 도서명, 권별, 저자, 초판일 정보, 대단원, 중단원, 쪽, 현행내용, 수정내용, 인쇄반영일, 정정항목, 세부정정항목 정보가 표시됨
표지 교/지/디 학교급 교육과정 국/검/인 출판사 도서명 권별 저자 초판일 판쇄
유물 출토 지역 수정 동아출판(주) - 역사② 표지 교과서 중학교 2015 검정 동아출판(주) 역사② 노대환외 10명 2020/03/01 1
대단원 중단원 현행내용 수정내용 인쇄반영일 정정항목
선사 문화와 고대 국가의 형성 14

민무늬 토기(경기 하남 출토)

민무늬 토기(충남 부여 출토)

2021/03/01 단순수정
위치 세부정정항목
자료 편집·교열
동아출판(주) 중학교 역사②의 교과용도서 수정·보완 사항 - 선택, 표지, 교/지/디, 학교급, 교육과정, 국/검/인, 출판사, 도서명, 권별, 저자, 초판일 정보, 대단원, 중단원, 쪽, 현행내용, 수정내용, 인쇄반영일, 정정항목, 세부정정항목 정보가 표시됨
표지 교/지/디 학교급 교육과정 국/검/인 출판사 도서명 권별 저자 초판일 판쇄
소속 변경 동아출판(주) - 역사② 표지 교과서 중학교 2015 검정 동아출판(주) 역사② 노대환외 10명 2020/03/01 1
대단원 중단원 현행내용 수정내용 인쇄반영일 정정항목
2

저자 소속

저자 소속 변경 사항 반영

2021/03/01 단순수정
위치 세부정정항목
본문 판권
(주)해냄에듀 고등학교 한국사의 교과용도서 수정·보완 사항 - 선택, 표지, 교/지/디, 학교급, 교육과정, 국/검/인, 출판사, 도서명, 권별, 저자, 초판일 정보, 대단원, 중단원, 쪽, 현행내용, 수정내용, 인쇄반영일, 정정항목, 세부정정항목 정보가 표시됨
표지 교/지/디 학교급 교육과정 국/검/인 출판사 도서명 권별 저자 초판일 판쇄
문장 수정 (주)해냄에듀 - 한국사 표지 교과서 고등학교 2015 검정 (주)해냄에듀 한국사 박중현외 9명 2020/03/01 초판1쇄
대단원 중단원 현행내용 수정내용 인쇄반영일 정정항목
318 영선사는 청에서 근대 군사 기술 학습 영선사는 청에서 근대 군사 기술을 배... 2021/03/01 내용수정
위치 세부정정항목
하 위에서 우2번째 줄 설명
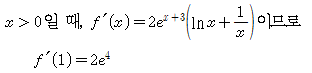
(주)비상교육 고등학교 미적분의 교과용도서 수정·보완 사항 - 선택, 표지, 교/지/디, 학교급, 교육과정, 국/검/인, 출판사, 도서명, 권별, 저자, 초판일 정보, 대단원, 중단원, 쪽, 현행내용, 수정내용, 인쇄반영일, 정정항목, 세부정정항목 정보가 표시됨
표지 교/지/디 학교급 교육과정 국/검/인 출판사 도서명 권별 저자 초판일 판쇄
현행에서 2021년 발행본(3쇄)을 f'(x)=2e^(x+3) (ln |x| +1/x)로 수식을 수정하는 것으로 등록하고 승인받았으나(교육부 승인일: 20020/02/28) 재검토해 보았을 때 풀이에 비약이 있어 현재 수정 내용으로 수정하는 것이 타당하여 해당 내용을 재수정함. (주)비상교육 - 미적분 표지 교과서 고등학교 2015 검정 (주)비상교육 미적분 김원경외 14명 2019/03/01 2
대단원 중단원 현행내용 수정내용 인쇄반영일 정정항목
해석 188

(주)비상교육 미적분 188쪽 현행내용 이미지

(주)비상교육 미적분 188쪽 수정내용 이미지
2021/03/01 내용수정
위치 세부정정항목
본문 위에서 우11번째 줄 설명
(주)좋은책신사고 고등학교 수학Ⅱ의 교과용도서 수정·보완 사항 - 선택, 표지, 교/지/디, 학교급, 교육과정, 국/검/인, 출판사, 도서명, 권별, 저자, 초판일 정보, 대단원, 중단원, 쪽, 현행내용, 수정내용, 인쇄반영일, 정정항목, 세부정정항목 정보가 표시됨
표지 교/지/디 학교급 교육과정 국/검/인 출판사 도서명 권별 저자 초판일 판쇄
저자 학교 수정 (주)좋은책신사고 - 수학Ⅱ 표지 교과서 고등학교 2015 검정 (주)좋은책신사고 수학Ⅱ 고성은외 6명 2018/03/01 1판3쇄
대단원 중단원 현행내용 수정내용 인쇄반영일 정정항목
183 집필진 이승우 현 서울과학고등학교 교... 집필진 이승우 현 창덕여자고등학교 교... 2021/03/01 단순수정
위치 세부정정항목
본문 위에서 8번째 줄 편집·교열
(주)해냄에듀 고등학교 한국사의 교과용도서 수정·보완 사항 - 선택, 표지, 교/지/디, 학교급, 교육과정, 국/검/인, 출판사, 도서명, 권별, 저자, 초판일 정보, 대단원, 중단원, 쪽, 현행내용, 수정내용, 인쇄반영일, 정정항목, 세부정정항목 정보가 표시됨
표지 교/지/디 학교급 교육과정 국/검/인 출판사 도서명 권별 저자 초판일 판쇄
5·18 민주화 운동의 의의가 잘 드러나도록 내용을 수정 보완 (주)해냄에듀 - 한국사 표지 교과서 고등학교 2015 검정 (주)해냄에듀 한국사 박중현외 9명 2020/03/01 초판1쇄
대단원 중단원 현행내용 수정내용 인쇄반영일 정정항목
대한민국의 발전 285 5·18 민주화 운동을 진압하고 집권... 신군부는 5·18 민주화 운동을 폭력... 2021/03/01 내용수정
위치 세부정정항목
본문 위에서 8번째 줄 설명
(주)해냄에듀 고등학교 한국사의 교과용도서 수정·보완 사항 - 선택, 표지, 교/지/디, 학교급, 교육과정, 국/검/인, 출판사, 도서명, 권별, 저자, 초판일 정보, 대단원, 중단원, 쪽, 현행내용, 수정내용, 인쇄반영일, 정정항목, 세부정정항목 정보가 표시됨
표지 교/지/디 학교급 교육과정 국/검/인 출판사 도서명 권별 저자 초판일 판쇄
신라관, 법화원 부분에 신라방 표시 추가, 범례 부분에 집 모양 약물 삭제 (주)해냄에듀 - 한국사 표지 교과서 고등학교 2015 검정 (주)해냄에듀 한국사 박중현외 9명 2020/03/01 초판1쇄
대단원 중단원 현행내용 수정내용 인쇄반영일 정정항목
전근대 한국사의 이해 22

(주)해냄에듀 한국사 22쪽 현행내용 이미지

(주)해냄에듀 한국사 22쪽 수정내용 이미지
2021/03/01 내용수정
위치 세부정정항목
날개 삽화
(주)좋은책신사고 고등학교 기하의 교과용도서 수정·보완 사항 - 선택, 표지, 교/지/디, 학교급, 교육과정, 국/검/인, 출판사, 도서명, 권별, 저자, 초판일 정보, 대단원, 중단원, 쪽, 현행내용, 수정내용, 인쇄반영일, 정정항목, 세부정정항목 정보가 표시됨
표지 교/지/디 학교급 교육과정 국/검/인 출판사 도서명 권별 저자 초판일 판쇄
저자 약력 (주)좋은책신사고 - 기하 표지 교과서 고등학교 2015 검정 (주)좋은책신사고 기하 고성은외 5명 2019/03/01 1판2쇄
대단원 중단원 현행내용 수정내용 인쇄반영일 정정항목
175 집필진 이승우 현 서울과학고등학교 교... 집필진 이승우 현 창덕여자고등학교 교... 2021/03/01 단순수정
위치 세부정정항목
본문 위에서 8번째 줄 편집·교열