교과용도서 수정·보완 사항

교과용도서 수정·보완 온라인 시스템>교과용도서 수정·보완 사항

461,626건(4,522/46,163 페이지)

확인
성안당 고등학교 전기 기기의 교과용도서 수정·보완 사항 - 선택, 표지, 교/지/디, 학교급, 교육과정, 국/검/인, 출판사, 도서명, 권별, 저자, 초판일 정보, 대단원, 중단원, 쪽, 현행내용, 수정내용, 인쇄반영일, 정정항목, 세부정정항목 정보가 표시됨
표지 교/지/디 학교급 교육과정 국/검/인 출판사 도서명 권별 저자 초판일 판쇄
예제 1 문제 수정으로 인한 수정 성안당 - 전기 기기 표지 교과서 고등학교 2015 인정 성안당 전기 기기 허가언외 5명 2021/03/01 2쇄
대단원 중단원 현행내용 수정내용 인쇄반영일 정정항목
I. 직류기 02. 직류 발전기의 이론 24

성안당 전기 기기 24쪽 현행내용 이미지

성안당 전기 기기 24쪽 수정내용 이미지
2023/03/01 단순수정
위치 세부정정항목
본문 위에서 하 3번째 줄 편집·교열
성안당 고등학교 전기 기기의 교과용도서 수정·보완 사항 - 선택, 표지, 교/지/디, 학교급, 교육과정, 국/검/인, 출판사, 도서명, 권별, 저자, 초판일 정보, 대단원, 중단원, 쪽, 현행내용, 수정내용, 인쇄반영일, 정정항목, 세부정정항목 정보가 표시됨
표지 교/지/디 학교급 교육과정 국/검/인 출판사 도서명 권별 저자 초판일 판쇄
본문 공식 바로 적용 성안당 - 전기 기기 표지 교과서 고등학교 2015 인정 성안당 전기 기기 허가언외 5명 2021/03/01 2쇄
대단원 중단원 현행내용 수정내용 인쇄반영일 정정항목
I. 직류기 02. 직류 발전기의 이론 24

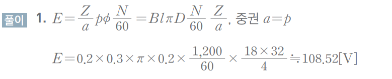
예제 1 4극의 직류 발전기가 있다. 전기자의 지름이 0.2[m], 축 방향의 길이가 0.3[m], 전기자 코일 수가 32, 한 개의 코일 권수가 18, 권선법은 중권이고 공극의 평균 자속 밀도가 0.2[Wb/m2 ]일 때, 이 발전기를 1,200[rpm]으로 회전시키면 유도 기전력은 얼마가 되는가?

예제 1 4극의 직류발전기가 있다. ... 2023/03/01 단순수정
위치 세부정정항목
본문 위에서 12번째 줄 편집·교열
(주)해냄에듀 고등학교 철학의 교과용도서 수정·보완 사항 - 선택, 표지, 교/지/디, 학교급, 교육과정, 국/검/인, 출판사, 도서명, 권별, 저자, 초판일 정보, 대단원, 중단원, 쪽, 현행내용, 수정내용, 인쇄반영일, 정정항목, 세부정정항목 정보가 표시됨
표지 교/지/디 학교급 교육과정 국/검/인 출판사 도서명 권별 저자 초판일 판쇄
회사 이전에 따른 주소, 전화 및 전송 번호 수정 (주)해냄에듀 - 철학 표지 교과서 고등학교 2015 인정 (주)해냄에듀 철학 김철원외 8명 2021/03/01 2쇄
대단원 중단원 현행내용 수정내용 인쇄반영일 정정항목
190 발행인 송영석(경기도 파주시 회동길 ... 발행인 송영석(서울특별시 마포구 잔다... 2023/03/01 단순수정
위치 세부정정항목
본문 위에서 25번째 줄 판권
(주)미래엔 고등학교 미술의 교과용도서 수정·보완 사항 - 선택, 표지, 교/지/디, 학교급, 교육과정, 국/검/인, 출판사, 도서명, 권별, 저자, 초판일 정보, 대단원, 중단원, 쪽, 현행내용, 수정내용, 인쇄반영일, 정정항목, 세부정정항목 정보가 표시됨
표지 교/지/디 학교급 교육과정 국/검/인 출판사 도서명 권별 저자 초판일 판쇄
판권 수정 (주)미래엔 - 미술 표지 교과서 고등학교 2015 인정 (주)미래엔 미술 조우호외 4명 2018/03/01 초판
대단원 중단원 현행내용 수정내용 인쇄반영일 정정항목
128

5쇄 발행│2022. 3. 1


6쇄 발행│2023. 3. 1


2023/03/01 단순수정
위치 세부정정항목
상 위에서 8번째 줄 판권
(주)미래엔 중학교 미술②의 교과용도서 수정·보완 사항 - 선택, 표지, 교/지/디, 학교급, 교육과정, 국/검/인, 출판사, 도서명, 권별, 저자, 초판일 정보, 대단원, 중단원, 쪽, 현행내용, 수정내용, 인쇄반영일, 정정항목, 세부정정항목 정보가 표시됨
표지 교/지/디 학교급 교육과정 국/검/인 출판사 도서명 권별 저자 초판일 판쇄
판권 수정 (주)미래엔 - 미술② 표지 지도서 중학교 2015 인정 (주)미래엔 미술② 2 연혜경외 6명 2018/03/01 초판
대단원 중단원 현행내용 수정내용 인쇄반영일 정정항목
232

5쇄 발행│2022. 3. 1

6쇄 발행│2023. 3. 1


2023/03/01 단순수정
위치 세부정정항목
하 위에서 13번째 줄 판권
(주)미래엔 중학교 미술②의 교과용도서 수정·보완 사항 - 선택, 표지, 교/지/디, 학교급, 교육과정, 국/검/인, 출판사, 도서명, 권별, 저자, 초판일 정보, 대단원, 중단원, 쪽, 현행내용, 수정내용, 인쇄반영일, 정정항목, 세부정정항목 정보가 표시됨
표지 교/지/디 학교급 교육과정 국/검/인 출판사 도서명 권별 저자 초판일 판쇄
판권 수정 (주)미래엔 - 미술② 표지 지도서 중학교 2015 인정 (주)미래엔 미술② 2 연혜경외 6명 2018/03/01 초판
대단원 중단원 현행내용 수정내용 인쇄반영일 정정항목
231

(현) 대전 둔산중학교 수석교사

(현) 한남대학교대학원 외래교수

2023/03/01 단순수정
위치 세부정정항목
본문 위에서 7번째 줄 판권
(주)미래엔 중학교 미술①의 교과용도서 수정·보완 사항 - 선택, 표지, 교/지/디, 학교급, 교육과정, 국/검/인, 출판사, 도서명, 권별, 저자, 초판일 정보, 대단원, 중단원, 쪽, 현행내용, 수정내용, 인쇄반영일, 정정항목, 세부정정항목 정보가 표시됨
표지 교/지/디 학교급 교육과정 국/검/인 출판사 도서명 권별 저자 초판일 판쇄
판권 수정 (주)미래엔 - 미술① 표지 지도서 중학교 2015 인정 (주)미래엔 미술① 1 연혜경외 6명 2018/03/01 초판
대단원 중단원 현행내용 수정내용 인쇄반영일 정정항목
260

5쇄 발행│2022. 3. 1

6쇄 발행│2023. 3. 1

2023/03/01 단순수정
위치 세부정정항목
하 위에서 13번째 줄 판권
(주)미래엔 중학교 미술①의 교과용도서 수정·보완 사항 - 선택, 표지, 교/지/디, 학교급, 교육과정, 국/검/인, 출판사, 도서명, 권별, 저자, 초판일 정보, 대단원, 중단원, 쪽, 현행내용, 수정내용, 인쇄반영일, 정정항목, 세부정정항목 정보가 표시됨
표지 교/지/디 학교급 교육과정 국/검/인 출판사 도서명 권별 저자 초판일 판쇄
판권 수정 (주)미래엔 - 미술① 표지 지도서 중학교 2015 인정 (주)미래엔 미술① 1 연혜경외 6명 2018/03/01 초판
대단원 중단원 현행내용 수정내용 인쇄반영일 정정항목
259

(현) 대전 둔산중학교 수석교사

(현) 한남대학교대학원 외래교수

2023/03/01 단순수정
위치 세부정정항목
본문 위에서 7번째 줄 판권
(주)미래엔 중학교 미술②의 교과용도서 수정·보완 사항 - 선택, 표지, 교/지/디, 학교급, 교육과정, 국/검/인, 출판사, 도서명, 권별, 저자, 초판일 정보, 대단원, 중단원, 쪽, 현행내용, 수정내용, 인쇄반영일, 정정항목, 세부정정항목 정보가 표시됨
표지 교/지/디 학교급 교육과정 국/검/인 출판사 도서명 권별 저자 초판일 판쇄
판권 수정 (주)미래엔 - 미술② 표지 교과서 중학교 2015 인정 (주)미래엔 미술② 2 연혜경외 6명 2018/03/01 초판
대단원 중단원 현행내용 수정내용 인쇄반영일 정정항목
100

5쇄 발행│2022. 3. 1


6쇄 발행│2023. 3. 1

2023/03/01 단순수정
위치 세부정정항목
하 위에서 12번째 줄 판권
(주)미래엔 중학교 미술②의 교과용도서 수정·보완 사항 - 선택, 표지, 교/지/디, 학교급, 교육과정, 국/검/인, 출판사, 도서명, 권별, 저자, 초판일 정보, 대단원, 중단원, 쪽, 현행내용, 수정내용, 인쇄반영일, 정정항목, 세부정정항목 정보가 표시됨
표지 교/지/디 학교급 교육과정 국/검/인 출판사 도서명 권별 저자 초판일 판쇄
판권 수정 (주)미래엔 - 미술② 표지 교과서 중학교 2015 인정 (주)미래엔 미술② 2 연혜경외 6명 2018/03/01 초판
대단원 중단원 현행내용 수정내용 인쇄반영일 정정항목
99

(현) 대전 둔산중학교 수석교사

(현) 한남대학교대학원 외래교수

2023/03/01 단순수정
위치 세부정정항목
본문 위에서 6번째 줄 판권