교과용도서 수정·보완 사항

교과용도서 수정·보완 온라인 시스템>교과용도서 수정·보완 사항

461,626건(3,485/46,163 페이지)

확인
(주)천재교과서 중학교 진로와 직업의 교과용도서 수정·보완 사항 - 선택, 표지, 교/지/디, 학교급, 교육과정, 국/검/인, 출판사, 도서명, 권별, 저자, 초판일 정보, 대단원, 중단원, 쪽, 현행내용, 수정내용, 인쇄반영일, 정정항목, 세부정정항목 정보가 표시됨
표지 교/지/디 학교급 교육과정 국/검/인 출판사 도서명 권별 저자 초판일 판쇄
지방자치단체명 수정 (주)천재교과서 - 진로와 직업 표지 지도서 중학교 2015 인정 (주)천재교과서 진로와 직업 김재호외 8명 2018/03/01 3판 5쇄
대단원 중단원 현행내용 수정내용 인쇄반영일 정정항목
표1

전라북도교육감 인정

전북특별자치도교육감 인정 2024/03/01 단순수정
위치 세부정정항목
본문 판권
성안당 고등학교 전기 기기의 교과용도서 수정·보완 사항 - 선택, 표지, 교/지/디, 학교급, 교육과정, 국/검/인, 출판사, 도서명, 권별, 저자, 초판일 정보, 대단원, 중단원, 쪽, 현행내용, 수정내용, 인쇄반영일, 정정항목, 세부정정항목 정보가 표시됨
표지 교/지/디 학교급 교육과정 국/검/인 출판사 도서명 권별 저자 초판일 판쇄
유도 전동기의 출력 성안당 - 전기 기기 표지 교과서 고등학교 2015 인정 성안당 전기 기기 허가언외 5명 2021/03/01 4쇄
대단원 중단원 현행내용 수정내용 인쇄반영일 정정항목
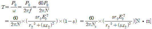
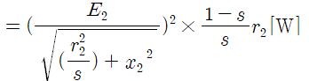
I. 직류기 01. 직류 전동기의 원리와 구조 255

성안당 전기 기기 255쪽 현행내용 이미지

성안당 전기 기기 255쪽 수정내용 이미지
2024/03/01 단순수정
위치 세부정정항목
본문 위에서 9번째 줄 편집·교열
(주)천재교과서 고등학교 진로와 직업의 교과용도서 수정·보완 사항 - 선택, 표지, 교/지/디, 학교급, 교육과정, 국/검/인, 출판사, 도서명, 권별, 저자, 초판일 정보, 대단원, 중단원, 쪽, 현행내용, 수정내용, 인쇄반영일, 정정항목, 세부정정항목 정보가 표시됨
표지 교/지/디 학교급 교육과정 국/검/인 출판사 도서명 권별 저자 초판일 판쇄
지방자치단체명 수정 (주)천재교과서 - 진로와 직업 표지 교과서 고등학교 2015 인정 (주)천재교과서 진로와 직업 김재호외 5명 2018/03/01 3판 5쇄
대단원 중단원 현행내용 수정내용 인쇄반영일 정정항목
표1

전라북도교육감 인정

전북특별자치도교육감 인정 2024/03/01 단순수정
위치 세부정정항목
본문 판권
(주)천재교과서 고등학교 미술 창작의 교과용도서 수정·보완 사항 - 선택, 표지, 교/지/디, 학교급, 교육과정, 국/검/인, 출판사, 도서명, 권별, 저자, 초판일 정보, 대단원, 중단원, 쪽, 현행내용, 수정내용, 인쇄반영일, 정정항목, 세부정정항목 정보가 표시됨
표지 교/지/디 학교급 교육과정 국/검/인 출판사 도서명 권별 저자 초판일 판쇄
판권 변경, 저자 프로필 수정 (주)천재교과서 - 미술 창작 표지 교과서 고등학교 2015 인정 (주)천재교과서 미술 창작 김윤배외 5명 2018/03/01 3판
대단원 중단원 현행내용 수정내용 인쇄반영일 정정항목
127 세종대학교 대학원 멀티미디어애니메이션... 세종대학교 대학원 멀티미디어애니메이션... 2024/03/01 단순수정
위치 세부정정항목
자료 위에서 28번째 줄 판권
(주)천재교과서 중학교 진로와 직업의 교과용도서 수정·보완 사항 - 선택, 표지, 교/지/디, 학교급, 교육과정, 국/검/인, 출판사, 도서명, 권별, 저자, 초판일 정보, 대단원, 중단원, 쪽, 현행내용, 수정내용, 인쇄반영일, 정정항목, 세부정정항목 정보가 표시됨
표지 교/지/디 학교급 교육과정 국/검/인 출판사 도서명 권별 저자 초판일 판쇄
지방자치단체명 수정 (주)천재교과서 - 진로와 직업 표지 교과서 중학교 2015 인정 (주)천재교과서 진로와 직업 김재호외 8명 2018/03/01 3판 5쇄
대단원 중단원 현행내용 수정내용 인쇄반영일 정정항목
표1

전라북도교육감 인정

전북특별자치도교육감 인정 2024/03/01 단순수정
위치 세부정정항목
본문 판권
(주)천재교과서 중학교 정보의 교과용도서 수정·보완 사항 - 선택, 표지, 교/지/디, 학교급, 교육과정, 국/검/인, 출판사, 도서명, 권별, 저자, 초판일 정보, 대단원, 중단원, 쪽, 현행내용, 수정내용, 인쇄반영일, 정정항목, 세부정정항목 정보가 표시됨
표지 교/지/디 학교급 교육과정 국/검/인 출판사 도서명 권별 저자 초판일 판쇄
판권 수정 (주)천재교과서 - 정보 표지 지도서 중학교 2015 인정 (주)천재교과서 정보 김현철외 4명 2018/03/01 3판 2쇄
대단원 중단원 현행내용 수정내용 인쇄반영일 정정항목
표3 2018. 3. 1. 초판 발행 20... 2018. 3. 1. 초판 발행 20... 2024/03/01 단순수정
위치 세부정정항목
하 위에서 14번째 줄 판권
(주)천재교과서 고등학교 미술 창작의 교과용도서 수정·보완 사항 - 선택, 표지, 교/지/디, 학교급, 교육과정, 국/검/인, 출판사, 도서명, 권별, 저자, 초판일 정보, 대단원, 중단원, 쪽, 현행내용, 수정내용, 인쇄반영일, 정정항목, 세부정정항목 정보가 표시됨
표지 교/지/디 학교급 교육과정 국/검/인 출판사 도서명 권별 저자 초판일 판쇄
판권 수정, 저자 프로필 수정 (주)천재교과서 - 미술 창작 표지 교과서 고등학교 2015 인정 (주)천재교과서 미술 창작 김윤배외 5명 2018/03/01 3판
대단원 중단원 현행내용 수정내용 인쇄반영일 정정항목
127

(현) 선일이비즈니스고등학교 교사

(현) 선일빅데이터고등학교 교사

2024/03/01 단순수정
위치 세부정정항목
자료 위에서 26번째 줄 판권
(주)천재교과서 고등학교 미술 창작의 교과용도서 수정·보완 사항 - 선택, 표지, 교/지/디, 학교급, 교육과정, 국/검/인, 출판사, 도서명, 권별, 저자, 초판일 정보, 대단원, 중단원, 쪽, 현행내용, 수정내용, 인쇄반영일, 정정항목, 세부정정항목 정보가 표시됨
표지 교/지/디 학교급 교육과정 국/검/인 출판사 도서명 권별 저자 초판일 판쇄
판권 교체, 저자 프로필 수정 (주)천재교과서 - 미술 창작 표지 교과서 고등학교 2015 인정 (주)천재교과서 미술 창작 김윤배외 5명 2018/03/01 3판
대단원 중단원 현행내용 수정내용 인쇄반영일 정정항목
127

(현) 홍익대학교 강사

(현) 홍익대학교 초빙 교수

2024/03/01 단순수정
위치 세부정정항목
자료 위에서 14번째 줄 판권
성안당 고등학교 전기 기기의 교과용도서 수정·보완 사항 - 선택, 표지, 교/지/디, 학교급, 교육과정, 국/검/인, 출판사, 도서명, 권별, 저자, 초판일 정보, 대단원, 중단원, 쪽, 현행내용, 수정내용, 인쇄반영일, 정정항목, 세부정정항목 정보가 표시됨
표지 교/지/디 학교급 교육과정 국/검/인 출판사 도서명 권별 저자 초판일 판쇄
유도 전동기 출력 성안당 - 전기 기기 표지 교과서 고등학교 2015 인정 성안당 전기 기기 허가언외 5명 2021/03/01 4쇄
대단원 중단원 현행내용 수정내용 인쇄반영일 정정항목
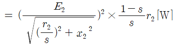
IV. 유도 전동기 03. 유도 전동기의 종류와 특성 255

성안당 전기 기기 255쪽 현행내용 이미지

성안당 전기 기기 255쪽 수정내용 이미지
2024/03/01 단순수정
위치 세부정정항목
본문 위에서 6번째 줄 편집·교열
(주)천재교과서 중학교 정보의 교과용도서 수정·보완 사항 - 선택, 표지, 교/지/디, 학교급, 교육과정, 국/검/인, 출판사, 도서명, 권별, 저자, 초판일 정보, 대단원, 중단원, 쪽, 현행내용, 수정내용, 인쇄반영일, 정정항목, 세부정정항목 정보가 표시됨
표지 교/지/디 학교급 교육과정 국/검/인 출판사 도서명 권별 저자 초판일 판쇄
판권 수정 (주)천재교과서 - 정보 표지 교과서 중학교 2015 인정 (주)천재교과서 정보 김현철외 4명 2018/03/01 3판 2쇄
대단원 중단원 현행내용 수정내용 인쇄반영일 정정항목
표3 2018. 3. 1. 초판 발행 20... 2018. 3. 1. 초판 발행 20... 2024/03/01 단순수정
위치 세부정정항목
하 위에서 14번째 줄 판권