본문 바로가기
주메뉴 바로가기
교과용 도서 수정·보완 온라인 시스템
메뉴 열기
로그인
회원가입
주 메뉴
메뉴 닫기
검색
교과용도서 수정·보완 사항
교과용도서 수정·보완 사항
교과용도서 정보 검색
교과용도서 정보 검색
교육 관련 법규
교과용 도서에 관한 규정
교육 기본법
초·중등 교육법
초·중등 교육법 시행령
편수자료/검정기준
편수 자료
검정 기준
교과용도서 수정·보완 통계
교과용도서 수정·보완 통계
시스템 안내
개요
이용안내
알림마당
홍보자료
FAQ
설문조사
로그인
회원가입
교과용도서 수정·보완 사항
교과용도서 수정·보완 온라인 시스템
>
교과용도서 수정·보완 사항
전체
출판사
도서명
저자
내용
검색
상세검색
교육과정
2022
2015
2009
2007
전체
도서 구분
전체(국정/검정/인정)
국정
검정
인정
교과서 종류
전체(교과서, 지도서, 디지털교과서)
교과서
지도서
디지털교과서
학교급
전체(초등학교/중학교/고등학교)
초등학교
중학교
고등학교
교과군
전체
출판사
전체
㈜바다출판사
㈜바이오사이언스출판
㈜시그마프레스
(주)고려출판
교과서다음㈜
(주)교문사
교육출판세종
(주)교학도서
교학사
(주)교학사
교학연구사
국립특수교육원
군자출판사(주)
(주)금성출판사
김영사
꿈결
(주)넥서스
능률교과서
(주)다락원
(주)대교
(주)대명사
대일도서
대일인쇄(주)
(주)대학서림
(주)대한북스
(주)더존비즈아카데미
도도북스
(주)도서출판 길벗
도서출판 박영사
도서출판공동체
도서출판담음
도서출판대학서림
도서출판들샘
(주)도서출판삶과꿈
도서출판신유
도서출판업투
도서출판원미사
도서출판지우사
도서출판지학사
도서출판태성
도서출판현학사
도서출판형민사
도서출판형설
동아서적(주)
동아지도
동아출판(주)
(주)동양북스
동진음악출판사
(주)동화사
(사)두란노서원
(주)두배의느낌
(주)들샘미디어
(주)디딤돌교육
레인보우북스
(주)리베르스쿨
마타에듀(주)
멘토르스쿨
(주)명우출판사
문예원
(주)문원각
(주)미래엔
미술과생활
미진사
민중서림
박문각출판
(주)박영사
박영사
반도인쇄사
법문사
(주)보진재
부민문화사
(주)블랙박스
(주)비상교과서
(주)비상교육
(주)비상교평
삼양교육
(주)삼양미디어
삼연기획
(주)삼화출판사
상문사
상문연구사
(주)상상아카데미
(주)새롬교육
새한교과서㈜
(주)생능출판사
서경인쇄사
(주)서울교과서
(주)선두
성림출판사
성문출판사
성안당
(주)성전에듀앤컬처
(주)성지문화사
성지출판(주)
성진미디어
(주)성화출판사
세계문화사
세광음악출판사
세기문화사
(주)시공미디어
(주)시공사
시사일본어사
시사중국어사
신문기획
(주)신원문화사
신진기획
씨마스
아바벨출판사
(주)아이스크림미디어
(주)아침나라
아트미디어(주)
(주)아트앤컬처
에듀서울
(주)에듀왕
(주)에듀코어
에스엔티미디어
에이플러스중앙교육
열린기획
(주)영진닷컴
영진미디어
(주)예지각
(주)와이비엠
(주)와이비엠홀딩스
우리교과서
웅보출판사
(주)웅진씽크빅
(주)워드앤코드
원교재사
(주)유웨이중앙교육
유진출판사
은하출판사
(주)음악과생활
(주)이오북스
(주)이젠교육
일진사
(주)장원교육
정진출판사
제일사
(주)좋은나무성품학교
(주)좋은책신사고
(주)중앙교육
(주)중앙교육진흥연구소
중앙북스(주)
중앙입시교육연구원
지구문화사
지세프코리아 주식회사
(주)지엔피에듀
지원문화사
(주)지학사
(주)진명출판사
(주)진학사
집문당
(주)창비교육
창의발전소
채움교육
(주)책의집그린코리아
(주)천재교과서
(주)천재교육
(주)천재문화
청문각
(주)체육과건강
크라운출판사
타임기획
(주)탄탄교육
태극기무궁화선양회출판사
태림출판사
파고다북스
파스칼미디어
포널스출판사
(주)포넷
피앤피북
(주)피와이메이트
학문출판
학연사
(주)학지사
한국과학창의재단
한국교과서(주)
(사)한국시각장애인연합회
한국언론진흥재단
(주)한국학력평가원
한빛아카데미(주)
한서출판사
(주)한솔교육
(주)해냄에듀
향우산업
(주)현대영어사
현대음악
현대음악출판사
형설아이
형설출판사
HappyHouse
(주)NE능률
도서명
도서명을 선택하세요
도서명(직접입력)
내용(키워드)
저자명
월별 수정보완
입력 예시 : 2015-02
인쇄반영년도
입력 예시 : 2015
검색
초기화
상세검색 닫기
총
3,686
건(18/369 페이지)
정정항목
모두
내용수정
단순수정
목록
10행
15행
20행
100행
확인
엑셀 다운로드
워드 다운로드
도움말
(주)비상교육 중학교 사회①의 교과용도서 수정·보완 사항 - 선택, 표지, 교/지/디, 학교급, 교육과정, 국/검/인, 출판사, 도서명, 권별, 저자, 초판일 정보, 대단원, 중단원, 쪽, 현행내용, 수정내용, 인쇄반영일, 정정항목, 세부정정항목 정보가 표시됨
전체선택
표지
교/지/디
학교급
교육과정
국/검/인
출판사
도서명
권별
저자
초판일
판쇄
내용 삭제
사회① 선택
지도서
중학교
2015
검정
(주)비상교육
사회①
최성길외 13명
2018/03/01
1쇄
대단원
중단원
쪽
현행내용
수정내용
인쇄반영일
정정항목
인문 환경과 인간 생활
123
생각을 여는 활동 2번 예시답안 산업...
해당 문장을 삭제함.
2019/03/01
내용수정
위치
세부정정항목
하 위에서 13번째 줄
기술
(주)금성출판사 고등학교 수학Ⅱ의 교과용도서 수정·보완 사항 - 선택, 표지, 교/지/디, 학교급, 교육과정, 국/검/인, 출판사, 도서명, 권별, 저자, 초판일 정보, 대단원, 중단원, 쪽, 현행내용, 수정내용, 인쇄반영일, 정정항목, 세부정정항목 정보가 표시됨
표지
교/지/디
학교급
교육과정
국/검/인
출판사
도서명
권별
저자
초판일
판쇄
오자 수정
수학Ⅱ 선택
교과서
고등학교
2015
검정
(주)금성출판사
수학Ⅱ
배종숙외 6명
2019/03/01
초판
대단원
중단원
쪽
현행내용
수정내용
인쇄반영일
정정항목
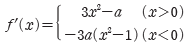
171
2019/03/01
내용수정
위치
세부정정항목
본문 위에서 좌6번째 줄
기술
(주)금성출판사 고등학교 수학Ⅱ의 교과용도서 수정·보완 사항 - 선택, 표지, 교/지/디, 학교급, 교육과정, 국/검/인, 출판사, 도서명, 권별, 저자, 초판일 정보, 대단원, 중단원, 쪽, 현행내용, 수정내용, 인쇄반영일, 정정항목, 세부정정항목 정보가 표시됨
표지
교/지/디
학교급
교육과정
국/검/인
출판사
도서명
권별
저자
초판일
판쇄
풀이 보충
수학Ⅱ 선택
교과서
고등학교
2015
검정
(주)금성출판사
수학Ⅱ
배종숙외 6명
2019/03/01
초판
대단원
중단원
쪽
현행내용
수정내용
인쇄반영일
정정항목
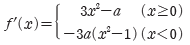
170
2019/03/01
내용수정
위치
세부정정항목
하 위에서 우11번째 줄
기술
(주)금성출판사 고등학교 수학Ⅱ의 교과용도서 수정·보완 사항 - 선택, 표지, 교/지/디, 학교급, 교육과정, 국/검/인, 출판사, 도서명, 권별, 저자, 초판일 정보, 대단원, 중단원, 쪽, 현행내용, 수정내용, 인쇄반영일, 정정항목, 세부정정항목 정보가 표시됨
표지
교/지/디
학교급
교육과정
국/검/인
출판사
도서명
권별
저자
초판일
판쇄
풀이 보충
수학Ⅱ 선택
교과서
고등학교
2015
검정
(주)금성출판사
수학Ⅱ
배종숙외 6명
2019/03/01
초판
대단원
중단원
쪽
현행내용
수정내용
인쇄반영일
정정항목
170
2019/03/01
내용수정
위치
세부정정항목
하 위에서 좌3번째 줄
기술
(주)비상교육 중학교 사회①의 교과용도서 수정·보완 사항 - 선택, 표지, 교/지/디, 학교급, 교육과정, 국/검/인, 출판사, 도서명, 권별, 저자, 초판일 정보, 대단원, 중단원, 쪽, 현행내용, 수정내용, 인쇄반영일, 정정항목, 세부정정항목 정보가 표시됨
표지
교/지/디
학교급
교육과정
국/검/인
출판사
도서명
권별
저자
초판일
판쇄
범주 재설정
사회① 선택
지도서
중학교
2015
검정
(주)비상교육
사회①
최성길외 13명
2018/03/01
1쇄
대단원
중단원
쪽
현행내용
수정내용
인쇄반영일
정정항목
인문 환경과 인간 생활
134
① 미국: 원주민, 백인, 흑인, 아...
① 미국: 원주민인 인디언, 유럽에서...
2019/03/01
내용수정
위치
세부정정항목
하 위에서 10번째 줄
기술
(주)금성출판사 고등학교 수학Ⅱ의 교과용도서 수정·보완 사항 - 선택, 표지, 교/지/디, 학교급, 교육과정, 국/검/인, 출판사, 도서명, 권별, 저자, 초판일 정보, 대단원, 중단원, 쪽, 현행내용, 수정내용, 인쇄반영일, 정정항목, 세부정정항목 정보가 표시됨
표지
교/지/디
학교급
교육과정
국/검/인
출판사
도서명
권별
저자
초판일
판쇄
풀이 오류
수학Ⅱ 선택
교과서
고등학교
2015
검정
(주)금성출판사
수학Ⅱ
배종숙외 6명
2019/03/01
초판
대단원
중단원
쪽
현행내용
수정내용
인쇄반영일
정정항목
169
2019/03/01
내용수정
위치
세부정정항목
하 위에서 우4번째 줄
기술
(주)비상교육 중학교 사회①의 교과용도서 수정·보완 사항 - 선택, 표지, 교/지/디, 학교급, 교육과정, 국/검/인, 출판사, 도서명, 권별, 저자, 초판일 정보, 대단원, 중단원, 쪽, 현행내용, 수정내용, 인쇄반영일, 정정항목, 세부정정항목 정보가 표시됨
표지
교/지/디
학교급
교육과정
국/검/인
출판사
도서명
권별
저자
초판일
판쇄
예시 답안 수정
사회① 선택
지도서
중학교
2015
검정
(주)비상교육
사회①
최성길외 13명
2018/03/01
1쇄
대단원
중단원
쪽
현행내용
수정내용
인쇄반영일
정정항목
인문 환경과 인간 생활
136
식민 지배의 경험이
식민 지배를 받은 경험이
2019/03/01
내용수정
위치
세부정정항목
상 위에서 2번째 줄
기술
(주)금성출판사 고등학교 수학Ⅱ의 교과용도서 수정·보완 사항 - 선택, 표지, 교/지/디, 학교급, 교육과정, 국/검/인, 출판사, 도서명, 권별, 저자, 초판일 정보, 대단원, 중단원, 쪽, 현행내용, 수정내용, 인쇄반영일, 정정항목, 세부정정항목 정보가 표시됨
표지
교/지/디
학교급
교육과정
국/검/인
출판사
도서명
권별
저자
초판일
판쇄
풀이 오류
수학Ⅱ 선택
교과서
고등학교
2015
검정
(주)금성출판사
수학Ⅱ
배종숙외 6명
2019/03/01
초판
대단원
중단원
쪽
현행내용
수정내용
인쇄반영일
정정항목
167
2019/03/01
내용수정
위치
세부정정항목
하 위에서 좌7번째 줄
기술
(주)금성출판사 고등학교 수학Ⅱ의 교과용도서 수정·보완 사항 - 선택, 표지, 교/지/디, 학교급, 교육과정, 국/검/인, 출판사, 도서명, 권별, 저자, 초판일 정보, 대단원, 중단원, 쪽, 현행내용, 수정내용, 인쇄반영일, 정정항목, 세부정정항목 정보가 표시됨
표지
교/지/디
학교급
교육과정
국/검/인
출판사
도서명
권별
저자
초판일
판쇄
문제 교체에 따른 정답 수정
수학Ⅱ 선택
교과서
고등학교
2015
검정
(주)금성출판사
수학Ⅱ
배종숙외 6명
2019/03/01
초판
대단원
중단원
쪽
현행내용
수정내용
인쇄반영일
정정항목
165
2019/03/01
내용수정
위치
세부정정항목
본문 위에서 좌15번째 줄
기술
(주)금성출판사 고등학교 수학Ⅱ의 교과용도서 수정·보완 사항 - 선택, 표지, 교/지/디, 학교급, 교육과정, 국/검/인, 출판사, 도서명, 권별, 저자, 초판일 정보, 대단원, 중단원, 쪽, 현행내용, 수정내용, 인쇄반영일, 정정항목, 세부정정항목 정보가 표시됨
표지
교/지/디
학교급
교육과정
국/검/인
출판사
도서명
권별
저자
초판일
판쇄
풀이 보충
수학Ⅱ 선택
교과서
고등학교
2015
검정
(주)금성출판사
수학Ⅱ
배종숙외 6명
2019/03/01
초판
대단원
중단원
쪽
현행내용
수정내용
인쇄반영일
정정항목
164
2019/03/01
내용수정
위치
세부정정항목
본문 위에서 우12번째 줄
기술
처음
이전
11
12
13
14
15
16
17
18
19
20
다음
마지막